Home Browse Text SearchFunctional Group SearchStructure SearchPreferences Administration

selected data collection: 1

IRIS SDF: browse content


1
  <<    <    >    >>  

1:662019 C16H22N2O6
hit structure
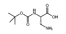
1:662020 C8H16N2O4
hit structure
1:662021 C22H24N2O6
hit structure
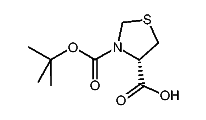
1:662022 C8H15NO4S
hit structure
1:662023 C19H30N2O6
hit structure
1:662024 C12H20N2O6
hit structure
1:662025 C12H20N2O6
hit structure
1:662026 C18H28N2O6
hit structure
1:662027 C14H18N4O8
hit structure
1:662028 C16H22N2O6
hit structure
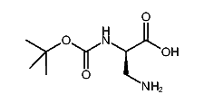
1:662029 C8H16N2O4
hit structure
1:662030 C23H26N2O6
hit structure
1:662031 C25H30N2O6
hit structure
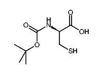
1:662032 C9H15NO4S
hit structure
1:662033 C17H20N2O4
hit structure
1:662034 C19H30N2O6
hit structure
1:662035 C15H20N4O8
hit structure
1:662036 C18H28N2O6
hit structure
1:662037 C11H19NO4
hit structure
1:662038 C20H32N2O6
hit structure
1:662039 C10H18N2O3
hit structure
1:662040 C15H21NO5
hit structure
1:662041 C11H19NO4
hit structure
1:662042 C13H17NO4
hit structure
1:662043 C25H32N4O7
hit structure

1
  <<    <    >    >>  

entries in data collection: 667240