Home Browse Text SearchFunctional Group SearchStructure SearchPreferences Administration

selected data collection: 1

IRIS SDF: browse content


1
  <<    <    >    >>  

1:660868 C18H16N2O6
hit structure
1:660869 C17H21N3O7
hit structure
1:660870 C21H26O4S3
hit structure
1:660871 C20H21N3O6S2
hit structure
1:660872 C18H22N2O5S
hit structure
1:660873 C21H24N2O4S2
hit structure
1:660874 C14H18N2O2S
hit structure
1:660875 C21H24N2O5S2
hit structure
1:660876 C30H36O2S
hit structure
1:660877 C16H18N2Na2O14S2
hit structure
1:660878 C6H8N2O2
hit structure
1:660879 C21H23NO4S2
hit structure
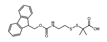
1:660880 C11H21NO4S2
hit structure
1:660881 C51H56N4O6S
hit structure
1:660882 C49H53N3O7S
hit structure
1:660883 C48H56N6O4S
hit structure
1:660884 C63H64N4O5S
hit structure
1:660885 C48H53N3O4S
hit structure
1:660886 C5H8N2O2
hit structure
1:660887 C6H10N2O2
hit structure
1:660888 C4H9N3
hit structure
1:660889 C9H5F3N2O2
hit structure
1:660890 C9H8F3N3
hit structure
1:660891 C14H18O4
hit structure
1:660892 C13H16O4
hit structure

1
  <<    <    >    >>  

entries in data collection: 661610