Home Browse Text SearchFunctional Group SearchStructure SearchPreferences Administration

selected data collection: 1

IRIS SDF: browse content


1
  <<    <    >    >>  

1:660459 C89H163F4NO39S2
hit structure
1:660460 C66H126N4O26S3
hit structure
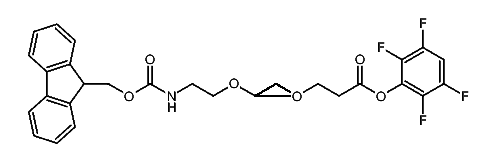
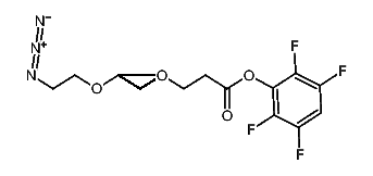
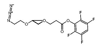
1:660461 C20H20F4N2O7
hit structure
1:660462 C24H28F4N2O9
hit structure
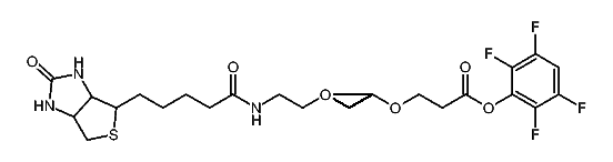
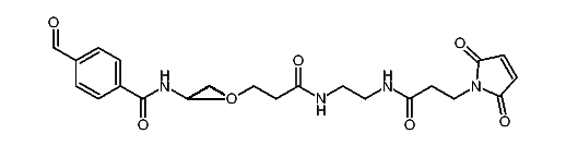
1:660463 C32H44F4N2O13
hit structure
1:660464 C40H60F4N2O17
hit structure
1:660465 C64H108F4N2O29
hit structure
1:660466 C88H156F4N2O41
hit structure
1:660467 C115H209F4N3O54
hit structure
1:660468 C19H24BrF4NO7
hit structure
1:660469 C35H56BrF4NO15
hit structure
1:660470 C59H104BrF4NO27
hit structure
1:660471 C44H70N4O18
hit structure
1:660472 C57H101F4N3O26
hit structure
1:660473 C81H149F4N3O38
hit structure
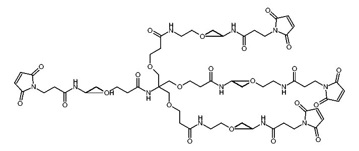
1:660474 C140H246N12O64
hit structure
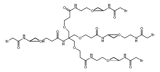
1:660475 C120H230Br4N8O56
hit structure
1:660476 C53H108N2O25
hit structure
1:660477 C26H45NO15
hit structure
1:660478 C58H109NO31
hit structure
1:660479 C67H117F4N3O28S
hit structure
1:660480 C31H44F4N4O9S
hit structure
1:660481 C47H76F4N4O17S
hit structure
1:660482 C32H33F4NO8
hit structure
1:660483 C40H49F4NO12
hit structure

1
  <<    <    >    >>  

entries in data collection: 661610