Home Browse Text SearchFunctional Group SearchStructure SearchPreferences Administration

selected data collection: 1

IRIS SDF: browse content


1
  <<    <    >    >>  

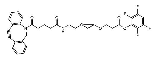
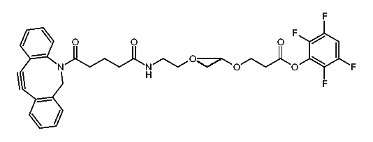
1:660383 C77H118F4N2O28
hit structure
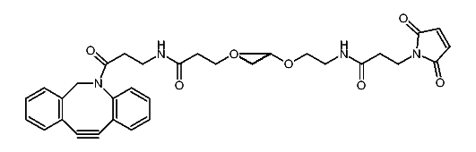
1:660384 C101H166F4N2O40
hit structure
1:660385 C52H74N4O17
hit structure
1:660386 C76H122N4O29
hit structure
1:660387 C31H38BrN3O7
hit structure
1:660388 C25H37N7O6S
hit structure
1:660389 C47H70BrN3O15
hit structure
1:660390 C23H38N4O6S
hit structure
1:660391 C71H118BrN3O27
hit structure
1:660392 C11H17NO5
hit structure
1:660393 C55H83N5O16S
hit structure
1:660394 C33H45N3O12
hit structure
1:660395 C66H79N3O20
hit structure
1:660396 C13H28N2O5
hit structure
1:660397 C75H141N2O26P
hit structure
1:660398 C45H73F4N5O13
hit structure
1:660399 C69H136NO22P
hit structure
1:660400 C61H105F4N5O21
hit structure
1:660401 C108H203F4NO51
hit structure
1:660402 C85H153F4N5O33
hit structure
1:660403 C53H105NO27
hit structure
1:660404 C33H49F4N5O13
hit structure
1:660405 C59H105F4NO27
hit structure
1:660406 C49H81F4N5O21
hit structure
1:660407 C24H50N4O12
hit structure

1
  <<    <    >    >>  

entries in data collection: 661610