Home Browse Text SearchFunctional Group SearchStructure SearchPreferences Administration

selected data collection: 1

IRIS SDF: browse content


1
  <<    <    >    >>  

1:660060 C15H33NO7
hit structure
1:660061 C39H54O11S
hit structure
1:660062 C31H38O7S
hit structure
1:660063 C35H61NO16
hit structure
1:660064 C59H109NO28
hit structure
1:660065 C23H37NO10
hit structure
1:660066 C27H45NO12
hit structure
1:660067 C31H43N3O9
hit structure
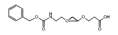
1:660068 C22H25NO6
hit structure
1:660069 C66H113NO28
hit structure
1:660070 C26H33NO8
hit structure
1:660071 C30H41NO10
hit structure
1:660072 C34H49NO12
hit structure
1:660073 C29H47N5O11S
hit structure
1:660074 C41H72N4O18S
hit structure
1:660075 C25H40N4O10S
hit structure
1:660076 C14H23NO8
hit structure
1:660077 C22H39NO12
hit structure
1:660078 C30H55NO16
hit structure
1:660079 C56H107NO29
hit structure
1:660080 C10H15NO6
hit structure
1:660081 C30H49N5O11S3
hit structure
1:660082 C13H27NO6
hit structure
1:660083 C16H31NO8
hit structure
1:660084 C10H11NO5
hit structure

1
  <<    <    >    >>  

entries in data collection: 661610