Home Browse Text SearchFunctional Group SearchStructure SearchPreferences Administration

selected data collection: 1

IRIS SDF: browse content


1
  <<    <    >    >>  

1:660025 C22H32N2O13
hit structure
1:660026 C30H48N2O17
hit structure
1:660027 C26H38N6O7
hit structure
1:660028 C24H34N4O9
hit structure
1:660029 C19H29NO8
hit structure
1:660030 C34H70N4O13
hit structure
1:660031 C21H37N3O8S
hit structure
1:660032 C15H30O7
hit structure
1:660033 C23H46O11
hit structure
1:660034 C38H63N3O19
hit structure
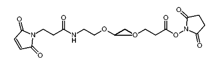
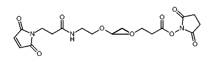
1:660035 C14H20N2O7
hit structure
1:660036 C18H23N3O9
hit structure
1:660037 C62H111N3O31
hit structure
1:660038 C18H28N2O9
hit structure
1:660039 C22H31N3O11
hit structure
1:660040 C26H39N3O13
hit structure
1:660041 C30H47N3O15
hit structure
1:660042 C41H71N5O16S
hit structure
1:660043 C58H108N2O29
hit structure
1:660044 C27H43N5O8S
hit structure
1:660045 C26H44N2O13
hit structure
1:660046 C10H20O6
hit structure
1:660047 C18H36O10
hit structure
1:660048 C6H12O4
hit structure
1:660049 C52H104O27
hit structure

1
  <<    <    >    >>  

entries in data collection: 661610