Home Browse Text SearchFunctional Group SearchStructure SearchPreferences Administration

selected data collection: 1

IRIS SDF: browse content


1
  <<    <    >    >>  

1:659919 C70H127N3O35
hit structure
1:659920 C74H129NO32
hit structure
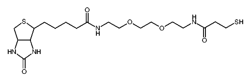
1:659921 C19H34N4O5S2
hit structure
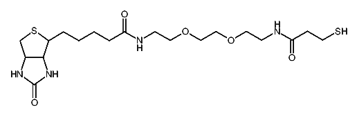
1:659922 C19H34N4O5S2
hit structure
1:659923 C19H34N4O5S2
hit structure
1:659924 C7H15N3O3
hit structure
1:659925 C12H24N2O7
hit structure
1:659926 C54H48N2O6
hit structure
1:659927 C39H41NO7
hit structure
1:659928 C26H25NO5
hit structure
1:659929 C55H47N3O5
hit structure
1:659930 C36H37NO5
hit structure
1:659931 C36H37NO5
hit structure
1:659932 C41H46N2O7
hit structure
1:659933 C35H35NO5S
hit structure
1:659934 C36H37NO5
hit structure
1:659935 C40H44N2O7
hit structure
1:659936 C39H35NO5
hit structure
1:659937 C13H13NO5
hit structure
1:659938 C19H16N2O7
hit structure
1:659939 C19H24N2O7
hit structure
1:659940 C18H19NO5
hit structure
1:659941 C19H21NO5
hit structure
1:659942 C19H21NO5
hit structure
1:659943 C23H21N3O6
hit structure

1
  <<    <    >    >>  

entries in data collection: 661610