Home Browse Text SearchFunctional Group SearchStructure SearchPreferences Administration

selected data collection: 1

IRIS SDF: browse content


1
  <<    <    >    >>  

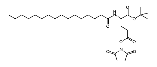
1:659779 C29H50N2O7
hit structure
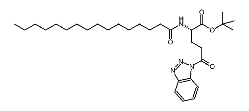
1:659780 C29H50N2O7
hit structure
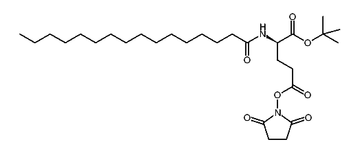
1:659781 C26H44N2O7
hit structure
1:659782 C10H15NO6
hit structure
1:659783 C17H23NO4
hit structure
1:659784 C17H29NO4
hit structure
1:659785 C17H24N2O4
hit structure
1:659786 C17H23NO5
hit structure
1:659787 C17H23NO4S
hit structure
1:659788 C18H25NO4
hit structure
1:659789 C27H25NO4
hit structure
1:659790 C27H31NO4
hit structure
1:659791 C31H50N4O4
hit structure
1:659792 C25H47NO5
hit structure
1:659793 C8H14N2O2S2
hit structure
1:659794 C36H44N4O9S2
hit structure
1:659795 C29H53NO7
hit structure
1:659796 C33H56N2O9
hit structure
1:659797 C20H38O4
hit structure
1:659798 C44H46N2O4S
hit structure
1:659799 C57H110N2O8S
hit structure
1:659800 C57H110N2O8S
hit structure
1:659801 C6H16N2O2
hit structure
1:659802 C6H16N2O2
hit structure
1:659803 C6H16N2O2
hit structure

1
  <<    <    >    >>  

entries in data collection: 661610