Home Browse Text SearchFunctional Group SearchStructure SearchPreferences Administration

selected data collection: 1

IRIS SDF: browse content


1
  <<    <    >    >>  

1:659648 C27H38D6O2
hit structure
1:659649 C27H40D6O2
hit structure
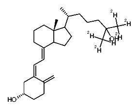
1:659650 C27H38D6O
hit structure
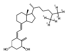
1:659651 C27H38D6O2
hit structure
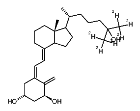
1:659652 C27H38D6O3
hit structure
1:659653 C27H41D3O
hit structure
1:659654 C27H38D6O
hit structure
1:659655 C27H40D6O
hit structure
1:659656 C28H38D6O2
hit structure
1:659657 C28H38D6O2
hit structure
1:659658 C28H38D6O3
hit structure
1:659659 C28H41D3O
hit structure
1:659660 C28H38D6O
hit structure
1:659661 C29H47D3O2
hit structure
1:659662 C29H44D6O2
hit structure
1:659663 C31H46D6O3
hit structure
1:659664 C29H41D9O2
hit structure
1:659665 C31H43D9O3
hit structure
1:659666 C16H25ClN2O4
hit structure
1:659667 C15H27N5O5
hit structure
1:659668 C40H78N12O12S
hit structure
1:659669 C34H63N5O9
hit structure
1:659670 C34H55N5O9S3
hit structure
1:659671 C21H25N5O5
hit structure
1:659672 C13H20N2O2S2
hit structure

1
  <<    <    >    >>  

entries in data collection: 661610