Home Browse Text SearchFunctional Group SearchStructure SearchPreferences Administration

selected data collection: 1

IRIS SDF: browse content


1
  <<    <    >    >>  

1:658592 C24H18N2O6
hit structure
1:658593 C24H19NO4
hit structure
1:658594 C25H28N2O4S
hit structure
1:658595 C40H37NO4S
hit structure
1:658596 C41H39NO4S
hit structure
1:658597 C24H28N2O6
hit structure
1:658598 C25H30N2O6
hit structure
1:658599 C21H23NO4S
hit structure
1:658600 C26H31NO6
hit structure
1:658601 C27H37NO5Si
hit structure
1:658602 C37H45N7O7S
hit structure
1:658603 C24H28N2O5
hit structure
1:658604 C22H24N4O4
hit structure
1:658605 C35H44N2O6
hit structure
1:658606 C25H28N2O5
hit structure
1:658607 C28H28N2O8S
hit structure
1:658608 C29H27N5O3S
hit structure
1:658609 C26H19N3O4S2
hit structure
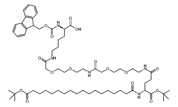
1:658610 C64H101N5O16
hit structure
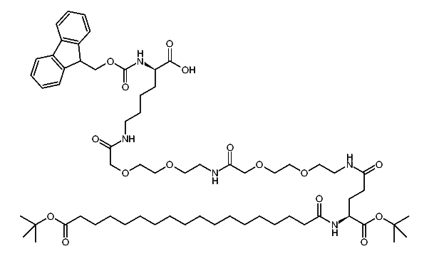
1:658611 C64H101N5O16
hit structure
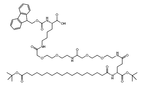
1:658612 C64H101N5O16
hit structure
1:658613 C22H21NO4S
hit structure
1:658614 C25H28N2O6
hit structure
1:658615 C24H24N2O6
hit structure
1:658616 C28H36N2O6
hit structure

1
  <<    <    >    >>  

entries in data collection: 678500