Home Browse Text SearchFunctional Group SearchStructure SearchPreferences Administration

selected data collection: 1

IRIS SDF: browse content


1
  <<    <    >    >>  

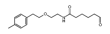
1:657151 C17H25NO3
hit structure
1:657152 C18H30O5
hit structure
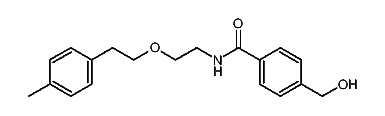
1:657153 C19H22O4
hit structure
1:657154 C18H20O3
hit structure
1:657155 C19H23NO3
hit structure
1:657156 C43H44N2O7
hit structure
1:657157 C16H22O4
hit structure
1:657158 C11H16OS
hit structure
1:657159 C31H31NO3
hit structure
1:657160 C18H22O3
hit structure
1:657161 C11H15BrO
hit structure
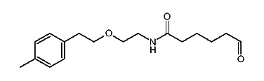
1:657162 C17H25NO3
hit structure
1:657163 C18H30O5
hit structure
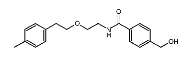
1:657164 C19H22O4
hit structure
1:657165 C18H20O3
hit structure
1:657166 C19H23NO3
hit structure
1:657167 C43H44N2O7
hit structure
1:657168 C16H22O4
hit structure
1:657169 C11H16OS
hit structure
1:657170 C31H31NO3
hit structure
1:657171 C18H22O3
hit structure
1:657172 C11H16O2
hit structure
1:657173 C11H16O2
hit structure
1:657174 C54H53N3O9
hit structure
1:657175 C37H35NO7
hit structure

1
  <<    <    >    >>  

entries in data collection: 661610