Home Browse Text SearchFunctional Group SearchStructure SearchPreferences Administration

selected data collection: 1

IRIS SDF: browse content


1
  <<    <    >    >>  

1:656879 C11H19NO4
hit structure
1:656880 C9H17NO4
hit structure
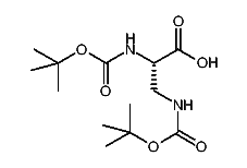
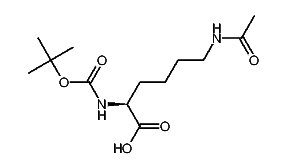
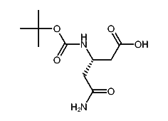
1:656881 C10H18N2O5
hit structure
1:656882 C12H23NO4
hit structure
1:656883 C12H23NO4
hit structure
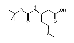
1:656884 C11H21NO4S
hit structure
1:656885 C15H21NO4
hit structure
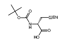
1:656886 C11H19NO4
hit structure
1:656887 C17H25NO5
hit structure
1:656888 C17H22N2O4
hit structure
1:656889 C22H27NO5
hit structure
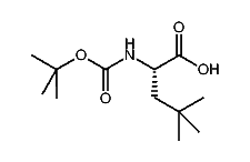
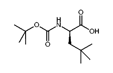
1:656890 C11H21NO4
hit structure
1:656891 C12H23NO4
hit structure
1:656892 C12H23NO4
hit structure
1:656893 C12H21NO4
hit structure
1:656894 C12H21NO4
hit structure
1:656895 C13H24N2O6
hit structure
1:656896 C17H24N2O5S
hit structure
1:656897 C9H14N2O4
hit structure
1:656898 C25H40N4O7S
hit structure
1:656899 C23H31N3O6
hit structure
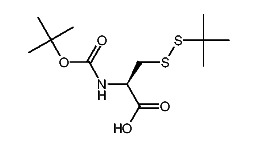
1:656900 C12H23NO4S2
hit structure
1:656901 C11H21N3O5
hit structure
1:656902 C27H34N4O8
hit structure
1:656903 C13H24N2O5
hit structure

1
  <<    <    >    >>  

entries in data collection: 661610