Home Browse Text SearchFunctional Group SearchStructure SearchPreferences Administration

selected data collection: 1

IRIS SDF: browse content


1
  <<    <    >    >>  

1:656581 C16H27NO4
hit structure
1:656582 C32H42N2O8
hit structure
1:656583 C32H42N2O8
hit structure
1:656584 C15H21NO4
hit structure
1:656585 C15H21NO4
hit structure
1:656586 C9H15F2NO4
hit structure
1:656587 C9H14F3NO4
hit structure
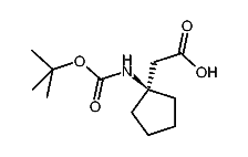
1:656588 C10H19NO4
hit structure
1:656589 C10H19NO4
hit structure
1:656590 C19H21NO4
hit structure
1:656591 C13H24N2O5S2
hit structure
1:656592 C9H15F2NO4
hit structure
1:656593 C14H28N2O4
hit structure
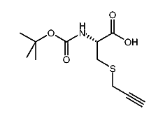
1:656594 C11H17NO4S
hit structure
1:656595 C10H15NO5
hit structure
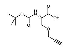
1:656596 C11H17NO5
hit structure
1:656597 C17H21NO5
hit structure
1:656598 C14H19NO4
hit structure
1:656599 C14H19NO4
hit structure
1:656600 C14H19NO4
hit structure
1:656601 C22H34N2O8
hit structure
1:656602 C12H21NO4
hit structure
1:656603 C13H23NO4
hit structure
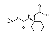
1:656604 C14H25NO4
hit structure
1:656605 C15H27NO4
hit structure

1
  <<    <    >    >>  

entries in data collection: 661610