Home Browse Text SearchFunctional Group SearchStructure SearchPreferences Administration

selected data collection: 1

IRIS SDF: browse content


1
  <<    <    >    >>  

1:656418 C12H23NO4
hit structure
1:656419 C20H30N2O6
hit structure
1:656420 C17H25NO5
hit structure
1:656421 C11H21NO4
hit structure
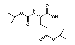
1:656422 C8H15NO4
hit structure
1:656423 C21H36N4O6S
hit structure
1:656424 C14H18INO4
hit structure
1:656425 C17H23NO6
hit structure
1:656426 C14H18INO4
hit structure
1:656427 C11H21NO4
hit structure
1:656428 C15H21NO5
hit structure
1:656429 C21H34N2O6
hit structure
1:656430 C24H40N2O6
hit structure
1:656431 C15H21NO4
hit structure
1:656432 C19H25N3O5
hit structure
1:656433 C15H21NO4
hit structure
1:656434 C16H23NO5
hit structure
1:656435 C16H23NO5
hit structure
1:656436 C10H19NO5
hit structure
1:656437 C14H25NO6
hit structure
1:656438 C10H17NO6
hit structure
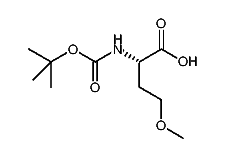
1:656439 C9H17NO4
hit structure
1:656440 C14H19NO5
hit structure
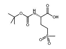
1:656441 C10H19NO6S
hit structure
1:656442 C18H23N3O6S
hit structure

1
  <<    <    >    >>  

entries in data collection: 661610