Home Browse Text SearchFunctional Group SearchStructure SearchPreferences Administration

selected data collection: 1

IRIS SDF: browse content


1
  <<    <    >    >>  

1:656099 C30H36N6O9
hit structure
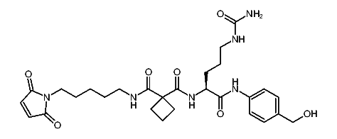
1:656100 C29H48N8O9
hit structure
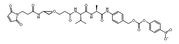
1:656101 C36H51N9O13
hit structure
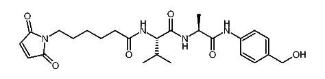
1:656102 C32H51N5O10
hit structure
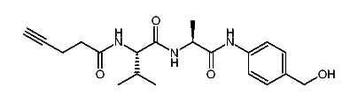
1:656103 C39H54N6O14
hit structure
1:656104 C36H55N7O12
hit structure
1:656105 C43H58N8O16
hit structure
1:656106 C43H57N7O9
hit structure
1:656107 C25H34N4O6
hit structure
1:656108 C32H37N5O10
hit structure
1:656109 C21H32N6O4
hit structure
1:656110 C28H35N7O8
hit structure
1:656111 C20H27N3O4
hit structure
1:656112 C27H30N4O8
hit structure
1:656113 C26H42N6O8
hit structure
1:656114 C33H45N7O12
hit structure
1:656115 C29H45N3O9
hit structure
1:656116 C36H48N4O13
hit structure
1:656117 C33H49N5O11
hit structure
1:656118 C40H52N6O15
hit structure
1:656119 C40H51N5O8
hit structure
1:656120 C28H38N6O7
hit structure
1:656121 C35H41N7O11
hit structure
1:656122 C22H32N8O5
hit structure
1:656123 C29H35N9O9
hit structure

1
  <<    <    >    >>  

entries in data collection: 661610