Home Browse Text SearchFunctional Group SearchStructure SearchPreferences Administration

selected data collection: 1

IRIS SDF: browse content


1
  <<    <    >    >>  

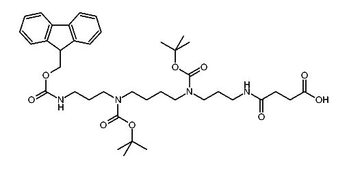
1:655662 C89H91N7O14
hit structure
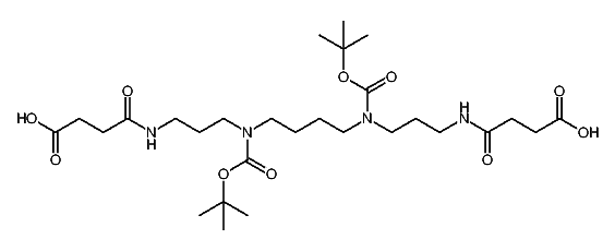
1:655663 C96H98N8O15
hit structure
1:655664 C25H50N4O6
hit structure
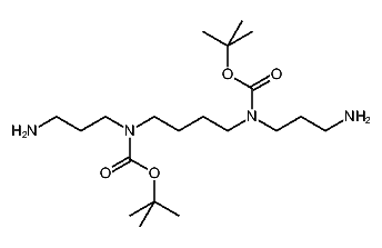
1:655665 C20H42N4O4
hit structure
1:655666 C39H56N4O9
hit structure
1:655667 C10H24N6
hit structure
1:655668 C31H58N4O10
hit structure
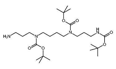
1:655669 C20H42N4O4
hit structure
1:655670 C10H22N8
hit structure
1:655671 C29H54N4O9
hit structure
1:655672 C25H48N6O6
hit structure
1:655673 C28H50N4O10
hit structure
1:655674 CH2Cl2
hit structure
1:655675 C3H7NO
hit structure
1:655676 C4H10O
hit structure
1:655677 C3H2F6O
hit structure
1:655678 C5H9NO
hit structure
1:655679 C5H11N
hit structure
1:655680 C2HF3O2
hit structure
1:655681 C2H3F3O
hit structure
1:655682 C5H9NO
hit structure
1:655683 C6H14O3S
hit structure
1:655684 C19H17P
hit structure
1:655685 C7H7ClO2S
hit structure
1:655686 C12H14O2
hit structure

1
  <<    <    >    >>  

entries in data collection: 655980