Home Browse Text SearchFunctional Group SearchStructure SearchPreferences Administration

selected data collection: 1

IRIS SDF: browse content


1
  <<    <    >    >>  

1:655244 C14H18N2O2S
hit structure
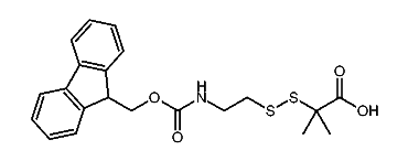
1:655245 C21H24N2O5S2
hit structure
1:655246 C30H36O2S
hit structure
1:655247 C16H18N2Na2O14S2
hit structure
1:655248 C6H8N2O2
hit structure
1:655249 C21H23NO4S2
hit structure
1:655250 C11H21NO4S2
hit structure
1:655251 C51H56N4O6S
hit structure
1:655252 C49H53N3O7S
hit structure
1:655253 C48H56N6O4S
hit structure
1:655254 C63H64N4O5S
hit structure
1:655255 C48H53N3O4S
hit structure
1:655256 C5H8N2O2
hit structure
1:655257 C6H10N2O2
hit structure
1:655258 C4H9N3
hit structure
1:655259 C9H5F3N2O2
hit structure
1:655260 C9H8F3N3
hit structure
1:655261 C14H18O4
hit structure
1:655262 C13H16O4
hit structure
1:655263 C15H20O4
hit structure
1:655264 C22H27NO7
hit structure
1:655265 C10H14N4O4
hit structure
1:655266 C7H7N3O
hit structure
1:655267 C8H7N3O2
hit structure
1:655268 C6H7NO3
hit structure

1
  <<    <    >    >>  

entries in data collection: 655980