Home Browse Text SearchFunctional Group SearchStructure SearchPreferences Administration

selected data collection: 1

IRIS SDF: browse content


1
  <<    <    >    >>  

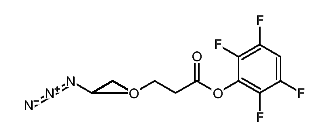
1:654781 C17H21F4N3O6
hit structure
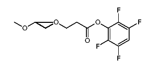
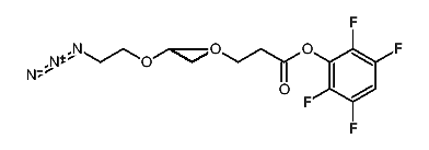
1:654782 C33H53F4N3O14
hit structure
1:654783 C47H83N7O21
hit structure
1:654784 C86H159N3O43
hit structure
1:654785 C71H131N7O33
hit structure
1:654786 C28H56O15
hit structure
1:654787 C32H59NO17
hit structure
1:654788 C34H56F4O15
hit structure
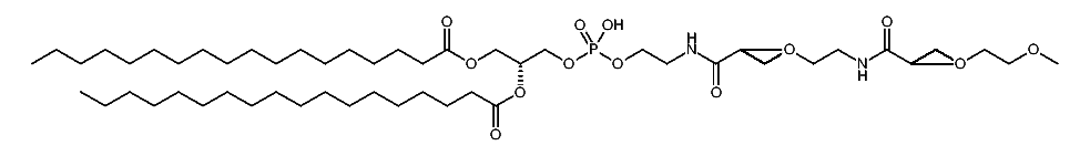
1:654789 C150H289N4O61P
hit structure
1:654790 C30H49BrF6N6O15
hit structure
1:654791 C118H233N2O46P
hit structure
1:654792 C42H79BrN6O19
hit structure
1:654793 C144H285N2O59P
hit structure
1:654794 C109H205F4NO52
hit structure
1:654795 C25H28O3S
hit structure
1:654796 C103H205NO52
hit structure
1:654797 C78H151BrN6O31
hit structure
1:654798 C117H214N2O53
hit structure
1:654799 C110H210N2O53
hit structure
1:654800 C102H204N2O51
hit structure
1:654801 C28H54Br2N2O13
hit structure
1:654802 C193H296N12O60
hit structure
1:654803 C64H82N4O15
hit structure
1:654804 C93H184NO34P
hit structure
1:654805 C163H299N4O60P
hit structure

1
  <<    <    >    >>  

entries in data collection: 655980