Home Browse Text SearchFunctional Group SearchStructure SearchPreferences Administration

selected data collection: 1

IRIS SDF: browse content


1
  <<    <    >    >>  

1:654731 C10H15NO5
hit structure
1:654732 C10H15NO5
hit structure
1:654733 C10H15NO5
hit structure
1:654734 C11H17NO5
hit structure
1:654735 C11H17NO5
hit structure
1:654736 C11H17NO5
hit structure
1:654737 C11H17NO5
hit structure
1:654738 C11H17NO5
hit structure
1:654739 C10H14N4O4
hit structure
1:654740 C10H14N4O4
hit structure
1:654741 C10H14N4O4
hit structure
1:654742 C10H14N4O4
hit structure
1:654743 C32H34N2O5S
hit structure
1:654744 C32H34N2O5S
hit structure
1:654745 C32H34N2O5S
hit structure
1:654746 C32H34N2O5S
hit structure
1:654747 C25H45N3O10S
hit structure
1:654748 C30H36O6S
hit structure
1:654749 C12H25N3O6
hit structure
1:654750 C27H32O4S
hit structure
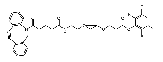
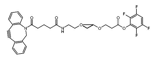
1:654751 C37H38F4N2O8
hit structure
1:654752 C53H70F4N2O16
hit structure
1:654753 C77H118F4N2O28
hit structure
1:654754 C101H166F4N2O40
hit structure
1:654755 C52H74N4O17
hit structure

1
  <<    <    >    >>  

entries in data collection: 655980