Home Browse Text SearchFunctional Group SearchStructure SearchPreferences Administration

selected data collection: 1

IRIS SDF: browse content


1
  <<    <    >    >>  

1:654393 C21H39N5O7S
hit structure
1:654394 C14H26O9
hit structure
1:654395 C22H32N2O13
hit structure
1:654396 C30H48N2O17
hit structure
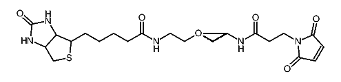
1:654397 C26H38N6O7
hit structure
1:654398 C24H34N4O9
hit structure
1:654399 C19H29NO8
hit structure
1:654400 C34H70N4O13
hit structure
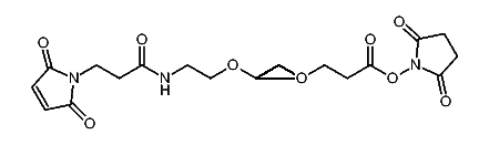
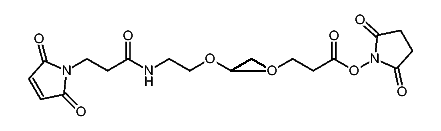
1:654401 C21H37N3O8S
hit structure
1:654402 C15H30O7
hit structure
1:654403 C23H46O11
hit structure
1:654404 C38H63N3O19
hit structure
1:654405 C14H20N2O7
hit structure
1:654406 C18H23N3O9
hit structure
1:654407 C62H111N3O31
hit structure
1:654408 C18H28N2O9
hit structure
1:654409 C22H31N3O11
hit structure
1:654410 C26H39N3O13
hit structure
1:654411 C30H47N3O15
hit structure
1:654412 C41H71N5O16S
hit structure
1:654413 C58H108N2O29
hit structure
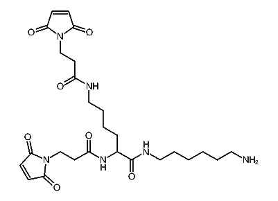
1:654414 C27H43N5O8S
hit structure
1:654415 C26H44N2O13
hit structure
1:654416 C10H20O6
hit structure
1:654417 C18H36O10
hit structure

1
  <<    <    >    >>  

entries in data collection: 655980