Home Browse Text SearchFunctional Group SearchStructure SearchPreferences Administration

selected data collection: 1

IRIS SDF: browse content


1
  <<    <    >    >>  

1:653461 C12H18N2O4
hit structure
1:653462 C14H26N2O4
hit structure
1:653463 C8H15NO2
hit structure
1:653464 C14H26N2O4
hit structure
1:653465 C16H30N2O4
hit structure
1:653466 C14H22N2O4
hit structure
1:653467 C14H22N2O4
hit structure
1:653468 C18H30N2O4
hit structure
1:653469 C7H13NO2
hit structure
1:653470 C6H13NO2
hit structure
1:653471 C7H15NO2
hit structure
1:653472 C8H17NO2
hit structure
1:653473 C9H19NO2
hit structure
1:653474 C7H15NO2
hit structure
1:653475 C6H13NO2
hit structure
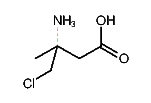
1:653476 C5H10ClNO2
hit structure
1:653477 C9H17NO2
hit structure
1:653478 C10H19NO2
hit structure
1:653479 C7H15NO2
hit structure
1:653480 C7H13NO2
hit structure
1:653481 C7H13NO3
hit structure
1:653482 C5H9NO2
hit structure
1:653483 C6H11NO2
hit structure
1:653484 C16H26N2O4
hit structure
1:653485 C16H22N2O4
hit structure

1
  <<    <    >    >>  

entries in data collection: 655980