Home Browse Text SearchFunctional Group SearchStructure SearchPreferences Administration

selected data collection: 1

IRIS SDF: browse content


1
  <<    <    >    >>  

1:649751 C15H15N7O2S
hit structure
1:649752 C12H9N3O3S
hit structure
1:649753 C30H23N5O3S
hit structure
1:649754 C12H22N4O6
hit structure
1:649755 C15H20N2O5S
hit structure
1:649756 C16H12N2O6
hit structure
1:649757 C7H12N4O3
hit structure
1:649758 C8H14N4O3
hit structure
1:649759 C12H22N4O7
hit structure
1:649760 C23H28N4O5
hit structure
1:649761 C23H30N2O5
hit structure
1:649762 C27H34N2O8
hit structure
1:649763 C27H34N2O9
hit structure
1:649764 C14H22N4O6
hit structure
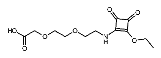
1:649765 C12H17NO7
hit structure
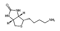
1:649766 C8H15N3O2
hit structure
1:649767 C12H22F6N6OP2
hit structure
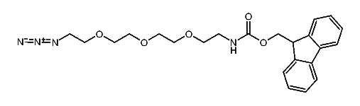
1:649768 C12H17NO5Si
hit structure
1:649769 C5H6N2O
hit structure
1:649770 C24H37N5O3S3
hit structure
1:649771 C20H29N5O5S
hit structure
1:649772 C23H33N5O7S
hit structure
1:649773 C22H34N4O5S
hit structure
1:649774 C9H17N3OS
hit structure
1:649775 C20H17Cl
hit structure

1
  <<    <    >    >>  

entries in data collection: 655980