Home Browse Text SearchFunctional Group SearchStructure SearchPreferences Administration

selected data collection: 1

IRIS SDF: browse content


1
  <<    <    >    >>  

1:648633 C23H27NO6
hit structure
1:648634 C23H27NO6
hit structure
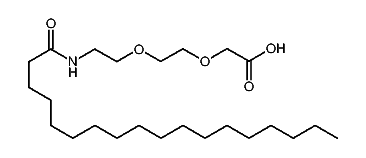
1:648635 C17H28N2O8
hit structure
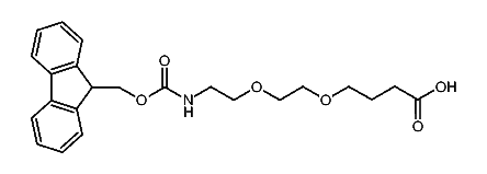
1:648636 C17H28N2O8
hit structure
1:648637 C17H28N2O8
hit structure
1:648638 C11H23NO4S
hit structure
1:648639 C11H23NO4S
hit structure
1:648640 C11H23NO4S
hit structure
1:648641 C27H30N2O8
hit structure
1:648642 C27H30N2O8
hit structure
1:648643 C27H30N2O8
hit structure
1:648644 C20H40O10S
hit structure
1:648645 C19H38O10S
hit structure
1:648646 C6H14O2S2
hit structure
1:648647 C6H14O2S2
hit structure
1:648648 C6H14O2S2
hit structure
1:648649 C6H14O2S2
hit structure
1:648650 C6H14O2S2
hit structure
1:648651 C14H16N2O6
hit structure
1:648652 C14H16N2O6
hit structure
1:648653 C14H16N2O6
hit structure
1:648654 C14H16N2O6
hit structure
1:648655 C34H38N2O7S
hit structure
1:648656 C34H38N2O7S
hit structure
1:648657 C24H47NO5
hit structure

1
  <<    <    >    >>  

entries in data collection: 650350