Home Browse Text SearchFunctional Group SearchStructure SearchPreferences Administration

selected data collection: 1

IRIS SDF: browse content


1
  <<    <    >    >>  

1:648383 C51H53N7O16
hit structure
1:648384 C48H63N13O10
hit structure
1:648385 C23H34N4O4S3
hit structure
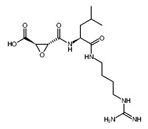
1:648386 C14H20N4O4
hit structure
1:648387 C16H15N5
hit structure
1:648388 C27H38D6O2
hit structure
1:648389 C27H40D6O2
hit structure
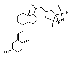
1:648390 C27H38D6O
hit structure
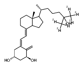
1:648391 C27H38D6O2
hit structure
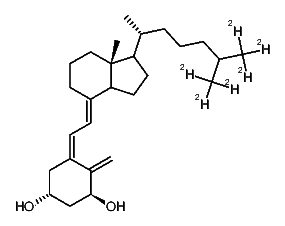
1:648392 C27H38D6O3
hit structure
1:648393 C27H41D3O
hit structure
1:648394 C27H38D6O
hit structure
1:648395 C27H40D6O
hit structure
1:648396 C28H38D6O2
hit structure
1:648397 C28H38D6O2
hit structure
1:648398 C28H38D6O3
hit structure
1:648399 C28H41D3O
hit structure
1:648400 C28H38D6O
hit structure
1:648401 C29H47D3O2
hit structure
1:648402 C29H44D6O2
hit structure
1:648403 C31H46D6O3
hit structure
1:648404 C29H41D9O2
hit structure
1:648405 C31H43D9O3
hit structure
1:648406 C16H25ClN2O4
hit structure
1:648407 C15H27N5O5
hit structure

1
  <<    <    >    >>  

entries in data collection: 650350