Home Browse Text SearchFunctional Group SearchStructure SearchPreferences Administration

selected data collection: 1

IRIS SDF: browse content


1
  <<    <    >    >>  

1:647858 C8H15NO2
hit structure
1:647859 C7H13NO2
hit structure
1:647860 C12H18N2O4
hit structure
1:647861 C14H26N2O4
hit structure
1:647862 C16H30N2O4
hit structure
1:647863 C7H13NO2
hit structure
1:647864 C16H30N2O4
hit structure
1:647865 C14H22N2O4
hit structure
1:647866 C14H22N2O4
hit structure
1:647867 C18H30N2O4
hit structure
1:647868 C6H13NO2
hit structure
1:647869 C7H15NO2
hit structure
1:647870 C8H17NO2
hit structure
1:647871 C9H19NO2
hit structure
1:647872 C7H15NO2
hit structure
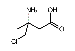
1:647873 C5H10ClNO2
hit structure
1:647874 C6H11NO2
hit structure
1:647875 C9H17NO2
hit structure
1:647876 C10H19NO2
hit structure
1:647877 C7H15NO2
hit structure
1:647878 C7H13NO2
hit structure
1:647879 C7H13NO3
hit structure
1:647880 C5H9NO2
hit structure
1:647881 C6H11NO2
hit structure
1:647882 C9H11NO2
hit structure

1
  <<    <    >    >>  

entries in data collection: 650350