Home Browse Text SearchFunctional Group SearchStructure SearchPreferences Administration

selected data collection: 1

IRIS SDF: browse content


1
  <<    <    >    >>  

1:647834 C14H26N2O4
hit structure
1:647835 C16H30N2O4
hit structure
1:647836 C14H22N2O4
hit structure
1:647837 C14H22N2O4
hit structure
1:647838 C18H30N2O4
hit structure
1:647839 C7H13NO2
hit structure
1:647840 C6H13NO2
hit structure
1:647841 C7H15NO2
hit structure
1:647842 C8H17NO2
hit structure
1:647843 C9H19NO2
hit structure
1:647844 C7H15NO2
hit structure
1:647845 C6H13NO2
hit structure
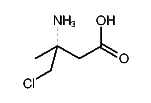
1:647846 C5H10ClNO2
hit structure
1:647847 C9H17NO2
hit structure
1:647848 C10H19NO2
hit structure
1:647849 C7H15NO2
hit structure
1:647850 C7H13NO2
hit structure
1:647851 C7H13NO3
hit structure
1:647852 C5H9NO2
hit structure
1:647853 C6H11NO2
hit structure
1:647854 C16H26N2O4
hit structure
1:647855 C16H22N2O4
hit structure
1:647856 C18H34N2O4
hit structure
1:647857 C18H30N2O4
hit structure
1:647858 C8H15NO2
hit structure

1
  <<    <    >    >>  

entries in data collection: 650350