| Home Browse Text SearchFunctional Group SearchStructure Search | Preferences | Administration |
| 1:647514 | C8H15N3O6 |
|
|
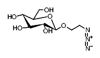
| 1:647515 | C8H15N3O6 |
|
|
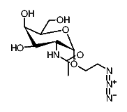
| 1:647516 | C10H18N4O6 |
|
|
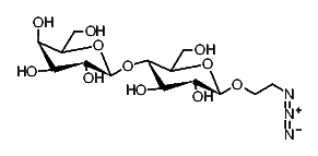
| 1:647517 | C14H25N3O11 |
|
|
| 1:647518 | C15H28O11 |
|
|
| 1:647519 | C17H31NO11 |
|
|
| 1:647520 | C17H31NO11 |
|
|
| 1:647521 | C15H28O11 |
|
|
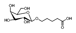
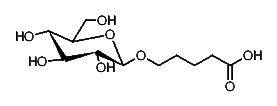
| 1:647522 | C11H20O8 |
|
|
| 1:647523 | C11H20O8 |
|
|
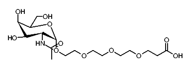
| 1:647524 | C13H23NO8 |
|
|
| 1:647525 | C13H23NO8 |
|
|
| 1:647526 | C11H20O8 |
|
|
| 1:647527 | C31H36N6O7 |
|
|
| 1:647528 | C15H15Cl2N5O6 |
|
|
| 1:647529 | C28H31ClN6O7 |
|
|
| 1:647530 | C28H31ClN6O7 |
|
|
| 1:647531 | C22H24N2O9S |
|
|
| 1:647532 | C24H28FN3O10 |
|
|
| 1:647533 | C30H42N2O11 |
|
|
| 1:647534 | C30H34N2O10 |
|
|
| 1:647535 | C21H32O11 |
|
|
| 1:647536 | C30H48N8O10 |
|
|
| 1:647537 | C56H66F4N2O18 |
|
|
| 1:647538 | C27H35NO9 |
|
|