Home Browse Text SearchFunctional Group SearchStructure SearchPreferences Administration

selected data collection: 1

IRIS SDF: browse content


1
  <<    <    >    >>  

1:645987 C53H66N7O8PSi
hit structure
1:645988 C47H64N5O9PSi
hit structure
1:645989 C49H67N8O8PSi
hit structure
1:645990 C50H68N7O9PSi
hit structure
1:645991 C45H61N4O9PSi
hit structure
1:645992 C10H14N2O6
hit structure
1:645993 C24H46O4
hit structure
1:645994 C33H61NO7
hit structure
1:645995 C49H86N4O15
hit structure
1:645996 C45H83N3O13
hit structure
1:645997 C44H46N2O8
hit structure
1:645998 C23H25NO4
hit structure
1:645999 C22H23NO4
hit structure
1:646000 C23H25NO4
hit structure
1:646001 C22H23NO4
hit structure
1:646002 C34H36BNO6
hit structure
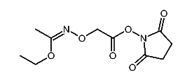
1:646003 C20H19NO4
hit structure
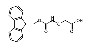
1:646004 C19H17NO4
hit structure
1:646005 C20H19NO4
hit structure
1:646006 C17H15NO5
hit structure
1:646007 C22H23NO4
hit structure
1:646008 C22H23NO4
hit structure
1:646009 C22H23NO4
hit structure
1:646010 C22H23NO4
hit structure
1:646011 C23H19NO4
hit structure

1
  <<    <    >    >>  

entries in data collection: 650350