Home Browse Text SearchFunctional Group SearchStructure SearchPreferences Administration

selected data collection: 1

IRIS SDF: browse content


1
  <<    <    >    >>  

1:645887 C11H17NO
hit structure
1:645888 C15H21NO4
hit structure
1:645889 C11H17NO
hit structure
1:645890 C11H15BrO
hit structure
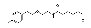
1:645891 C17H25NO3
hit structure
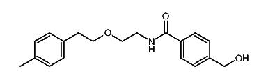
1:645892 C18H30O5
hit structure
1:645893 C19H22O4
hit structure
1:645894 C18H20O3
hit structure
1:645895 C19H23NO3
hit structure
1:645896 C43H44N2O7
hit structure
1:645897 C16H22O4
hit structure
1:645898 C11H16OS
hit structure
1:645899 C31H31NO3
hit structure
1:645900 C18H22O3
hit structure
1:645901 C11H15BrO
hit structure
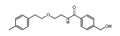
1:645902 C17H25NO3
hit structure
1:645903 C18H30O5
hit structure
1:645904 C19H22O4
hit structure
1:645905 C18H20O3
hit structure
1:645906 C19H23NO3
hit structure
1:645907 C43H44N2O7
hit structure
1:645908 C16H22O4
hit structure
1:645909 C11H16OS
hit structure
1:645910 C31H31NO3
hit structure
1:645911 C18H22O3
hit structure

1
  <<    <    >    >>  

entries in data collection: 650350