Home Browse Text SearchFunctional Group SearchStructure SearchPreferences Administration

selected data collection: 1

IRIS SDF: browse content


1
  <<    <    >    >>  

1:645748 C13H26N2O2
hit structure
1:645749 C14H29N3O4
hit structure
1:645750 C14H29N3O4
hit structure
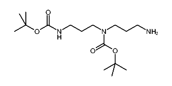
1:645751 C16H33N3O4
hit structure
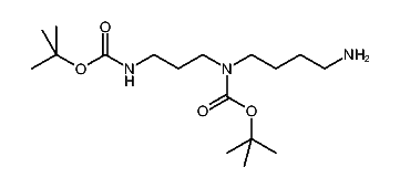
1:645752 C16H33N3O4
hit structure
1:645753 C17H35N3O4
hit structure
1:645754 C17H35N3O4
hit structure
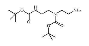
1:645755 C10H22N4O3
hit structure
1:645756 C24H50N4O4
hit structure
1:645757 C9H20N2O2S2
hit structure
1:645758 C13H28N2O2
hit structure
1:645759 C14H30N2O2
hit structure
1:645760 C15H32N2O2
hit structure
1:645761 C16H34N2O2
hit structure
1:645762 C17H36N2O2
hit structure
1:645763 C14H27N3O4
hit structure
1:645764 C9H19N3O2
hit structure
1:645765 C9H18N2O3
hit structure
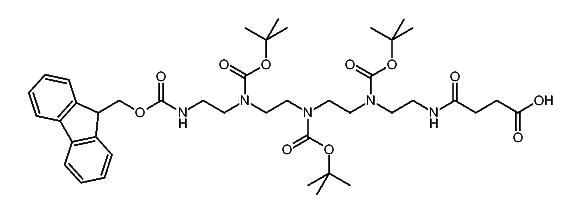
1:645766 C23H47N5O6
hit structure
1:645767 C42H61N5O11
hit structure
1:645768 C13H22N2O4S2
hit structure
1:645769 C9H21N3O2
hit structure
1:645770 C16H33N3O4
hit structure
1:645771 C9H21N3O2
hit structure
1:645772 C14H28N2O4S2
hit structure

1
  <<    <    >    >>  

entries in data collection: 650350