Home Browse Text SearchFunctional Group SearchStructure SearchPreferences Administration

selected data collection: 1

IRIS SDF: browse content


1
  <<    <    >    >>  

1:645222 C13H23NO4
hit structure
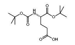
1:645223 C14H25NO6
hit structure
1:645224 C18H23N3O4
hit structure
1:645225 C15H21NO5
hit structure
1:645226 C17H23NO5
hit structure
1:645227 C14H17NO4
hit structure
1:645228 C26H32N2O6
hit structure
1:645229 C22H34N2O6
hit structure
1:645230 C10H19NO5S
hit structure
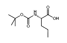
1:645231 C11H21NO4
hit structure
1:645232 C10H19NO4
hit structure
1:645233 C18H25ClN2O6
hit structure
1:645234 C14H18ClNO4
hit structure
1:645235 C14H18FNO4
hit structure
1:645236 C14H17Cl2NO4
hit structure
1:645237 C14H17F2NO4
hit structure
1:645238 C14H18ClNO4
hit structure
1:645239 C14H18INO4
hit structure
1:645240 C14H18BrNO4
hit structure
1:645241 C14H18ClNO4
hit structure
1:645242 C15H21NO4
hit structure
1:645243 C14H20N2O4
hit structure
1:645244 C29H30N2O6
hit structure
1:645245 C22H26N2O6
hit structure
1:645246 C14H18N2O6
hit structure

1
  <<    <    >    >>  

entries in data collection: 650350