Home Browse Text SearchFunctional Group SearchStructure SearchPreferences Administration

selected data collection: 1

IRIS SDF: browse content


1
  <<    <    >    >>  

1:645064 C9H16N2O5
hit structure
1:645065 C12H19NO6
hit structure
1:645066 C16H21NO6
hit structure
1:645067 C15H25NO6
hit structure
1:645068 C13H23NO6
hit structure
1:645069 C13H23NO6
hit structure
1:645070 C13H23NO6
hit structure
1:645071 C11H20N2O5S
hit structure
1:645072 C15H21NO4S
hit structure
1:645073 C16H23NO4S
hit structure
1:645074 C16H23NO5S
hit structure
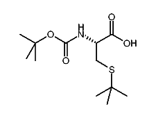
1:645075 C12H23NO4S
hit structure
1:645076 C16H27NO6
hit structure
1:645077 C16H25N3O6
hit structure
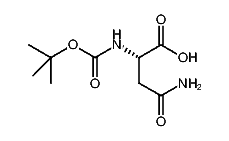
1:645078 C11H17N3O4
hit structure
1:645079 C10H17NO5
hit structure
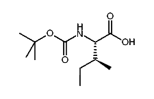
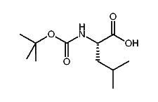
1:645080 C11H21NO4
hit structure
1:645081 C11H21NO4
hit structure
1:645082 C19H27ClN2O6
hit structure
1:645083 C15H26N2O6
hit structure
1:645084 C16H30N2O6
hit structure
1:645085 C19H28N2O6
hit structure
1:645086 C11H22N2O4
hit structure
1:645087 C9H17NO4
hit structure
1:645088 C12H23NO4
hit structure

1
  <<    <    >    >>  

entries in data collection: 650350