Home Browse Text SearchFunctional Group SearchStructure SearchPreferences Administration

selected data collection: 1

IRIS SDF: browse content


1
  <<    <    >    >>  

1:644886 C37H39N7O11
hit structure
1:644887 C32H39N5O8
hit structure
1:644888 C39H42N6O12
hit structure
1:644889 C13H14O5
hit structure
1:644890 C20H17NO9
hit structure
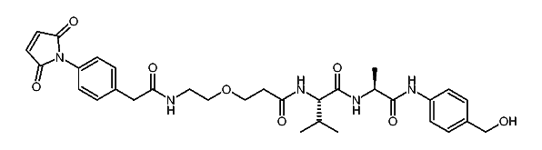
1:644891 C42H54N6O9
hit structure
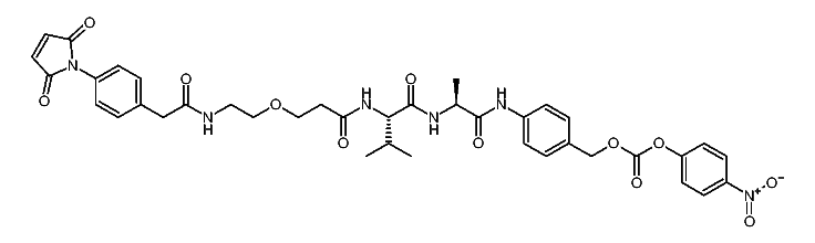
1:644892 C49H57N7O13
hit structure
1:644893 C39H48N4O8
hit structure
1:644894 C46H51N5O12
hit structure
1:644895 C19H27N3O5
hit structure
1:644896 C22H33N5O6
hit structure
1:644897 C12H14N2O
hit structure
1:644898 C9H18N2O2
hit structure
1:644899 C15H14N2O2
hit structure
1:644900 C11H26N2O4
hit structure
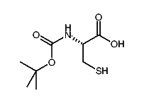
1:644901 C8H15NO4S
hit structure
1:644902 C27H29NO4S
hit structure
1:644903 C13H22N2O6
hit structure
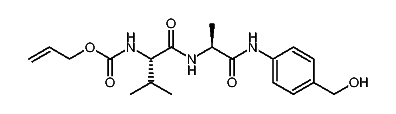
1:644904 C24H28N2O6
hit structure
1:644905 C9H18N2O4
hit structure
1:644906 C23H26N2O6
hit structure
1:644907 C23H26N2O6
hit structure
1:644908 C10H18N2O5
hit structure
1:644909 C13H21NO6
hit structure
1:644910 C17H23NO6
hit structure

1
  <<    <    >    >>  

entries in data collection: 650350