Home Browse Text SearchFunctional Group SearchStructure SearchPreferences Administration

selected data collection: 1

IRIS SDF: browse content


1
  <<    <    >    >>  

1:644836 C24H38N8O5
hit structure
1:644837 C31H41N9O9
hit structure
1:644838 C23H33N5O5
hit structure
1:644839 C30H36N6O9
hit structure
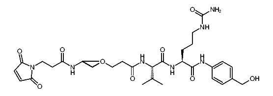
1:644840 C29H48N8O9
hit structure
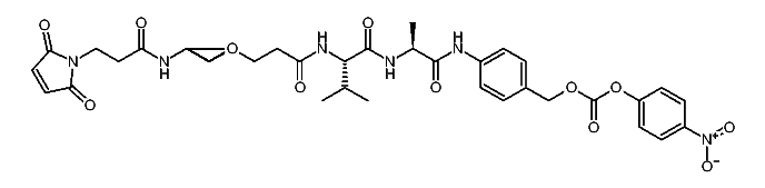
1:644841 C36H51N9O13
hit structure
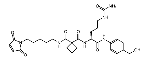
1:644842 C32H51N5O10
hit structure
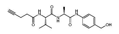
1:644843 C39H54N6O14
hit structure
1:644844 C36H55N7O12
hit structure
1:644845 C43H58N8O16
hit structure
1:644846 C43H57N7O9
hit structure
1:644847 C25H34N4O6
hit structure
1:644848 C32H37N5O10
hit structure
1:644849 C21H32N6O4
hit structure
1:644850 C28H35N7O8
hit structure
1:644851 C20H27N3O4
hit structure
1:644852 C27H30N4O8
hit structure
1:644853 C26H42N6O8
hit structure
1:644854 C33H45N7O12
hit structure
1:644855 C29H45N3O9
hit structure
1:644856 C36H48N4O13
hit structure
1:644857 C33H49N5O11
hit structure
1:644858 C40H52N6O15
hit structure
1:644859 C40H51N5O8
hit structure
1:644860 C28H38N6O7
hit structure

1
  <<    <    >    >>  

entries in data collection: 650350