Home Browse Text SearchFunctional Group SearchStructure SearchPreferences Administration

selected data collection: 1

IRIS SDF: browse content


1
  <<    <    >    >>  

1:642739 C31H40N2O9
hit structure
1:642740 C32H42N2O9
hit structure
1:642741 C40H45N3O10
hit structure
1:642742 C37H44N2O9
hit structure
1:642743 C29H36N2O8
hit structure
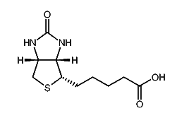
1:642744 C10H16N2O3S
hit structure
1:642745 C7H19N3
hit structure
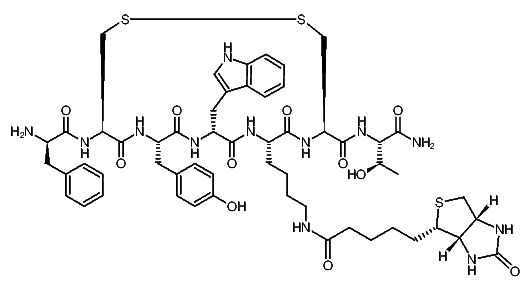
1:642746 C51H70N10O15S2
hit structure
1:642747 C51H61F9N10O15S2
hit structure
1:642748 C55H72N12O11S3
hit structure
1:642749 C90H106N12O13S3
hit structure
1:642750 C16H28N4O4S
hit structure
1:642751 C46H50N10O9
hit structure
1:642752 C55H65N7O12
hit structure
1:642753 C51H53N7O16
hit structure
1:642754 C48H63N13O10
hit structure
1:642755 C23H34N4O4S3
hit structure
1:642756 C14H20N4O4
hit structure
1:642757 C16H15N5
hit structure
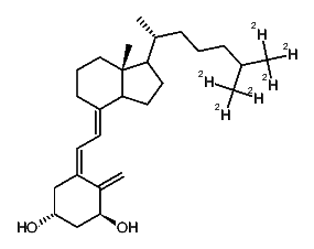
1:642758 C27H38D6O2
hit structure
1:642759 C27H40D6O2
hit structure
1:642760 C27H38D6O
hit structure
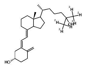
1:642761 C27H38D6O2
hit structure
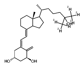
1:642762 C27H38D6O3
hit structure
1:642763 C27H41D3O
hit structure

1
  <<    <    >    >>  

entries in data collection: 655980