Home Browse Text SearchFunctional Group SearchStructure SearchPreferences Administration

selected data collection: 1

IRIS SDF: browse content


1
  <<    <    >    >>  

1:642589 C8H15N5O3
hit structure
1:642590 C6H12N2O4Se2
hit structure
1:642591 C12H14N2O6Se
hit structure
1:642592 C14H19N5O4
hit structure
1:642593 C14H19N5O4
hit structure
1:642594 C25H32N2O4
hit structure
1:642595 C12H20N2O5
hit structure
1:642596 C11H18N2O3
hit structure
1:642597 C9H15N3O2
hit structure
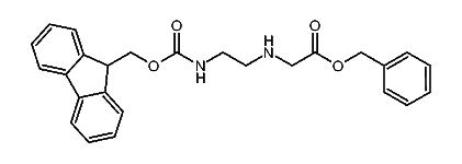
1:642598 C26H26N2O4
hit structure
1:642599 C12H26N2O4Si
hit structure
1:642600 C10H12N2O4Se
hit structure
1:642601 C12H13N5O2
hit structure
1:642602 C11H14N2O4Se
hit structure
1:642603 C14H16N8O2
hit structure
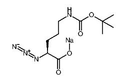
1:642604 C10H17N4NaO4
hit structure
1:642605 C12H13N5O2
hit structure
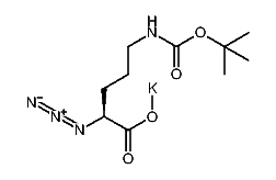
1:642606 C10H17KN4O4
hit structure
1:642607 C15H19N5O2
hit structure
1:642608 C14H17N5O2
hit structure
1:642609 C20H32N4O5S
hit structure
1:642610 C11H23N3O3
hit structure
1:642611 C10H19NO2
hit structure
1:642612 C22H26N2O4
hit structure
1:642613 C20H32N4O5S
hit structure

1
  <<    <    >    >>  

entries in data collection: 650350