Home Browse Text SearchFunctional Group SearchStructure SearchPreferences Administration

selected data collection: 1

IRIS SDF: browse content


1
  <<    <    >    >>  

1:642214 C7H15NO2
hit structure
1:642215 C6H13NO2
hit structure
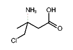
1:642216 C5H10ClNO2
hit structure
1:642217 C9H17NO2
hit structure
1:642218 C10H19NO2
hit structure
1:642219 C7H15NO2
hit structure
1:642220 C7H13NO2
hit structure
1:642221 C7H13NO3
hit structure
1:642222 C5H9NO2
hit structure
1:642223 C6H11NO2
hit structure
1:642224 C16H26N2O4
hit structure
1:642225 C16H22N2O4
hit structure
1:642226 C18H34N2O4
hit structure
1:642227 C18H30N2O4
hit structure
1:642228 C8H15NO2
hit structure
1:642229 C7H13NO2
hit structure
1:642230 C12H18N2O4
hit structure
1:642231 C14H26N2O4
hit structure
1:642232 C16H30N2O4
hit structure
1:642233 C7H13NO2
hit structure
1:642234 C16H30N2O4
hit structure
1:642235 C14H22N2O4
hit structure
1:642236 C14H22N2O4
hit structure
1:642237 C18H30N2O4
hit structure
1:642238 C6H13NO2
hit structure

1
  <<    <    >    >>  

entries in data collection: 647883