Home Browse Text SearchFunctional Group SearchStructure SearchPreferences Administration

selected data collection: 1

IRIS SDF: browse content


1
  <<    <    >    >>  

1:641565 C40H36N2O4
hit structure
1:641566 C21H23NO5
hit structure
1:641567 C22H19F3N2O5
hit structure
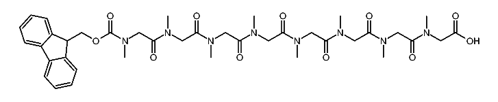
1:641568 C39H52N8O11
hit structure
1:641569 C22H19F3N2O5
hit structure
1:641570 C28H27NO6
hit structure
1:641571 C26H30N2O6
hit structure
1:641572 C28H27NO6
hit structure
1:641573 C26H30N2O6
hit structure
1:641574 C29H29NO6
hit structure
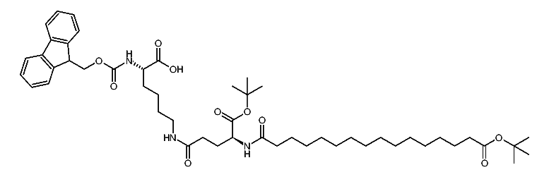
1:641575 C50H75N3O10
hit structure
1:641576 C29H29NO6
hit structure
1:641577 C41H60N2O7
hit structure
1:641578 C27H30N2O5
hit structure
1:641579 C27H21N3O4
hit structure
1:641580 C27H21N3O4
hit structure
1:641581 C27H21N3O4
hit structure
1:641582 C27H21N3O4
hit structure
1:641583 C27H23FN2O4
hit structure
1:641584 C27H23FN2O4
hit structure
1:641585 C27H23FN2O4
hit structure
1:641586 C27H23FN2O4
hit structure
1:641587 C25H21N3O4
hit structure
1:641588 C25H21N3O4
hit structure
1:641589 C25H21N3O4
hit structure

1
  <<    <    >    >>  

entries in data collection: 644720