Home Browse Text SearchFunctional Group SearchStructure SearchPreferences Administration

selected data collection: 1

IRIS SDF: browse content


1
  <<    <    >    >>  

1:640564 C29H32N2O6
hit structure
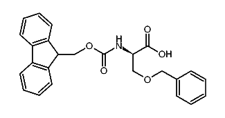
1:640565 C22H22N2O6
hit structure
1:640566 C23H26N2O6
hit structure
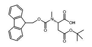
1:640567 C29H35NO8
hit structure
1:640568 C20H20N2O5
hit structure
1:640569 C23H23NO6
hit structure
1:640570 C23H23NO6
hit structure
1:640571 C20H19NO6
hit structure
1:640572 C24H27NO6
hit structure
1:640573 C26H27N3O6
hit structure
1:640574 C25H23NO5
hit structure
1:640575 C24H23N3O4
hit structure
1:640576 C32H42N4O8
hit structure
1:640577 C22H25N3O5
hit structure
1:640578 C22H25NO4
hit structure
1:640579 C25H28N2O6
hit structure
1:640580 C31H36N2O6
hit structure
1:640581 C36H34N2O6
hit structure
1:640582 C29H30N2O6
hit structure
1:640583 C24H28N2O4
hit structure
1:640584 C21H24N2O4
hit structure
1:640585 C19H19NO4
hit structure
1:640586 C24H27NO6
hit structure
1:640587 C25H29NO6
hit structure
1:640588 C22H25NO4
hit structure

1
  <<    <    >    >>  

entries in data collection: 644720