Home Browse Text SearchFunctional Group SearchStructure SearchPreferences Administration

selected data collection: 1

IRIS SDF: browse content


1
  <<    <    >    >>  

1:639857 C21H25NO5
hit structure
1:639858 C15H21NO5
hit structure
1:639859 C20H23NO5
hit structure
1:639860 C15H18F3NO5
hit structure
1:639861 C15H18F3NO4
hit structure
1:639862 C16H17F6NO4
hit structure
1:639863 C14H17Cl2NO4
hit structure
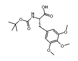
1:639864 C17H25NO7
hit structure
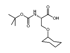
1:639865 C16H23NO4
hit structure
1:639866 C16H23NO5
hit structure
1:639867 C18H28N2O4
hit structure
1:639868 C15H18F3NO5
hit structure
1:639869 C18H27NO4
hit structure
1:639870 C17H25NO4
hit structure
1:639871 C14H19NO5
hit structure
1:639872 C19H37NO4
hit structure
1:639873 C14H19NO5
hit structure
1:639874 C15H20N2O5
hit structure
1:639875 C16H22N2O5
hit structure
1:639876 C17H21N3O4
hit structure
1:639877 C22H24N2O4
hit structure
1:639878 C16H28N2O5
hit structure
1:639879 C15H26N2O5
hit structure
1:639880 C14H25NO5
hit structure
1:639881 C20H29NO5
hit structure

1
  <<    <    >    >>  

entries in data collection: 644720