Home Browse Text SearchFunctional Group SearchStructure SearchPreferences Administration

selected data collection: 1

IRIS SDF: browse content


1
  <<    <    >    >>  

1:639782 C13H17NO4
hit structure
1:639783 C13H17NO4
hit structure
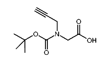
1:639784 C8H15NO5
hit structure
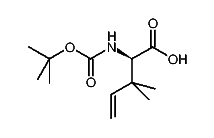
1:639785 C10H17NO4
hit structure
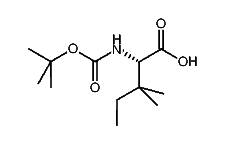
1:639786 C10H15NO4
hit structure
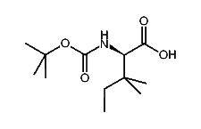
1:639787 C10H17NO4
hit structure
1:639788 C10H17NO4
hit structure
1:639789 C17H27NO4
hit structure
1:639790 C28H38N2O10
hit structure
1:639791 C28H38N2O10
hit structure
1:639792 C30H42N2O8
hit structure
1:639793 C12H23NO4
hit structure
1:639794 C12H23NO4
hit structure
1:639795 C12H21NO4
hit structure
1:639796 C12H21NO4
hit structure
1:639797 C12H21NO4
hit structure
1:639798 C15H26N2O4
hit structure
1:639799 C13H23NO4
hit structure
1:639800 C14H25NO4
hit structure
1:639801 C11H19NO5
hit structure
1:639802 C9H15NO6
hit structure
1:639803 C14H23NO4
hit structure
1:639804 C9H14F3NO4
hit structure
1:639805 C11H19NO6
hit structure
1:639806 C19H37NO4
hit structure

1
  <<    <    >    >>  

entries in data collection: 644720