Home Browse Text SearchFunctional Group SearchStructure SearchPreferences Administration

selected data collection: 1

IRIS SDF: browse content


1
  <<    <    >    >>  

1:639532 C8H15NO4
hit structure
1:639533 C21H36N4O6S
hit structure
1:639534 C14H18INO4
hit structure
1:639535 C17H23NO6
hit structure
1:639536 C14H18INO4
hit structure
1:639537 C11H21NO4
hit structure
1:639538 C15H21NO5
hit structure
1:639539 C21H34N2O6
hit structure
1:639540 C24H40N2O6
hit structure
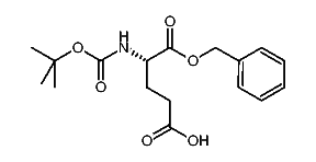
1:639541 C15H21NO4
hit structure
1:639542 C19H25N3O5
hit structure
1:639543 C15H21NO4
hit structure
1:639544 C16H23NO5
hit structure
1:639545 C16H23NO5
hit structure
1:639546 C10H19NO5
hit structure
1:639547 C14H25NO6
hit structure
1:639548 C10H17NO6
hit structure
1:639549 C9H17NO4
hit structure
1:639550 C14H19NO5
hit structure
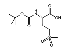
1:639551 C10H19NO6S
hit structure
1:639552 C18H23N3O6S
hit structure
1:639553 C10H15NO5
hit structure
1:639554 C9H17NO4
hit structure
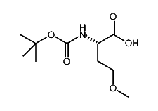
1:639555 C14H25NO4
hit structure
1:639556 C16H23NO5
hit structure

1
  <<    <    >    >>  

entries in data collection: 644720