Home Browse Text SearchFunctional Group SearchStructure SearchPreferences Administration

selected data collection: 1

IRIS SDF: browse content


1
  <<    <    >    >>  

1:638762 C29H33NO5S
hit structure
1:638763 C30H35NO5
hit structure
1:638764 C34H42N2O7
hit structure
1:638765 C33H33NO5
hit structure
1:638766 C29H31NO5
hit structure
1:638767 C31H37NO6
hit structure
1:638768 C32H39NO6
hit structure
1:638769 C37H41NO6
hit structure
1:638770 C29H33NO5
hit structure
1:638771 C40H42N2O7
hit structure
1:638772 C89H91N7O14
hit structure
1:638773 C96H98N8O15
hit structure
1:638774 C25H50N4O6
hit structure
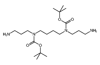
1:638775 C20H42N4O4
hit structure
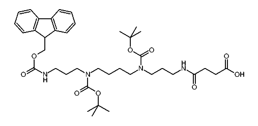
1:638776 C39H56N4O9
hit structure
1:638777 C10H24N6
hit structure
1:638778 C31H58N4O10
hit structure
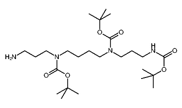
1:638779 C20H42N4O4
hit structure
1:638780 C10H22N8
hit structure
1:638781 C29H54N4O9
hit structure
1:638782 C25H48N6O6
hit structure
1:638783 C28H50N4O10
hit structure
1:638784 CH2Cl2
hit structure
1:638785 C3H7NO
hit structure
1:638786 C4H10O
hit structure

1
  <<    <    >    >>  

entries in data collection: 639090