Home Browse Text SearchFunctional Group SearchStructure SearchPreferences Administration

selected data collection: 1

IRIS SDF: browse content


1
  <<    <    >    >>  

1:638443 C29H39N9O4S
hit structure
1:638444 C28H39N7O4S
hit structure
1:638445 C22H26F5N3O4S
hit structure
1:638446 C8H10S2
hit structure
1:638447 C15H16N2O3S2
hit structure
1:638448 C10H12O5S
hit structure
1:638449 C26H27F4N4NaO10S
hit structure
1:638450 C7H14N2
hit structure
1:638451 C15H12N5NaO7S
hit structure
1:638452 C20H18N2O3S2
hit structure
1:638453 C18H18N6O2
hit structure
1:638454 C27H36N6O7
hit structure
1:638455 C10H10N2O3
hit structure
1:638456 C19H23N9O2
hit structure
1:638457 C24H33N9O6
hit structure
1:638458 C12H21N5O4
hit structure
1:638459 C20H19N7O4
hit structure
1:638460 C31H40N8O9
hit structure
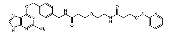
1:638461 C21H21N7O2S2
hit structure
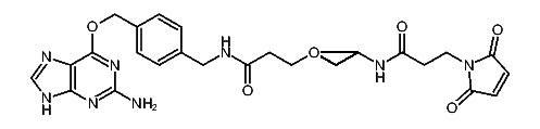
1:638462 C26H30N8O4S2
hit structure
1:638463 C34H31N7O3
hit structure
1:638464 C24H22N2O2
hit structure
1:638465 C23H21F9N4O4S
hit structure
1:638466 C21H16F9NO5S
hit structure
1:638467 C35H41F9N4O6S2
hit structure

1
  <<    <    >    >>  

entries in data collection: 1002240