Home Browse Text SearchFunctional Group SearchStructure SearchPreferences Administration

selected data collection: 1

IRIS SDF: browse content


1
  <<    <    >    >>  

1:638368 C4H9N3
hit structure
1:638369 C9H5F3N2O2
hit structure
1:638370 C9H8F3N3
hit structure
1:638371 C14H18O4
hit structure
1:638372 C13H16O4
hit structure
1:638373 C15H20O4
hit structure
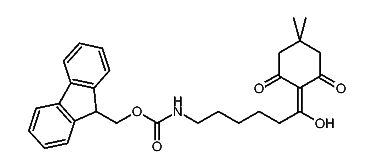
1:638374 C22H27NO7
hit structure
1:638375 C10H14N4O4
hit structure
1:638376 C7H7N3O
hit structure
1:638377 C8H7N3O2
hit structure
1:638378 C6H7NO3
hit structure
1:638379 C9H9N3O3
hit structure
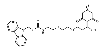
1:638380 C23H33N3O7S
hit structure
1:638381 C15H24N4O4
hit structure
1:638382 C14H26ClNO5
hit structure
1:638383 C11H21N3O2
hit structure
1:638384 C12H23N3O2
hit structure
1:638385 C16H26N4O4
hit structure
1:638386 C14H27N3O2
hit structure
1:638387 C16H31N3O2
hit structure
1:638388 C18H35N3O2
hit structure
1:638389 C29H33NO5
hit structure
1:638390 C30H35NO7
hit structure
1:638391 C13H19N3O3
hit structure
1:638392 C11H15N5O4
hit structure

1
  <<    <    >    >>  

entries in data collection: 1008810