Home Browse Text SearchFunctional Group SearchStructure SearchPreferences Administration

selected data collection: 1

IRIS SDF: browse content


1
  <<    <    >    >>  

1:637957 C26H45NO15
hit structure
1:637958 C58H109NO31
hit structure
1:637959 C67H117F4N3O28S
hit structure
1:637960 C31H44F4N4O9S
hit structure
1:637961 C47H76F4N4O17S
hit structure
1:637962 C32H33F4NO8
hit structure
1:637963 C40H49F4NO12
hit structure
1:637964 C48H65F4NO16
hit structure
1:637965 C72H113F4NO28
hit structure
1:637966 C96H161F4NO40
hit structure
1:637967 C18H35NO8
hit structure
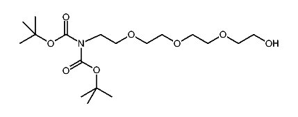
1:637968 C13H28N2O5
hit structure
1:637969 C15H32N2O6
hit structure
1:637970 C72H132N2O34S2
hit structure
1:637971 C9H20N2O3
hit structure
1:637972 C6H13NO4
hit structure
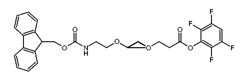
1:637973 C6H10KN3O4
hit structure
1:637974 C32H53N7O8S
hit structure
1:637975 C38H57N9O9S
hit structure
1:637976 C32H50N4O8S
hit structure
1:637977 C27H49N7O7S
hit structure
1:637978 C27H42N8O7S
hit structure
1:637979 C24H40N4O7S
hit structure
1:637980 C20H38N4O5S
hit structure
1:637981 C24H46N4O13
hit structure

1
  <<    <    >    >>  

entries in data collection: 639090