Home Browse Text SearchFunctional Group SearchStructure SearchPreferences Administration

selected data collection: 1

IRIS SDF: browse content


1
  <<    <    >    >>  

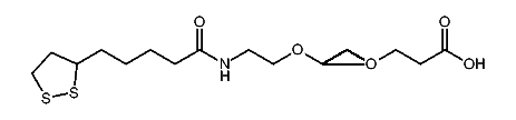
1:637693 C27H51NO11S2
hit structure
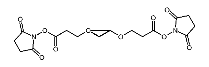
1:637694 C59H115NO27S2
hit structure
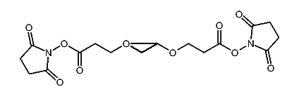
1:637695 C25H41N3O7S2
hit structure
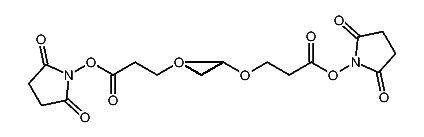
1:637696 C39H69N3O15S2
hit structure
1:637697 C28H50N4O6S3
hit structure
1:637698 C42H78N4O14S3
hit structure
1:637699 C17H33NO5S2
hit structure
1:637700 C25H49NO9S2
hit structure
1:637701 C33H65NO13S2
hit structure
1:637702 C57H113NO25S2
hit structure
1:637703 C33H59NO17S
hit structure
1:637704 C79H159NO38
hit structure
1:637705 C48H99NO24
hit structure
1:637706 C72H147NO36
hit structure
1:637707 C8H17N3O4
hit structure
1:637708 C48H97N3O24
hit structure
1:637709 C72H145N3O36
hit structure
1:637710 C26H52O13S
hit structure
1:637711 C22H36N2O11
hit structure
1:637712 C87H161N3O41S2
hit structure
1:637713 C26H40N2O15
hit structure
1:637714 C38H64N2O21
hit structure
1:637715 C46H80N2O25
hit structure
1:637716 C54H96N2O29
hit structure
1:637717 C62H112N2O33
hit structure

1
  <<    <    >    >>  

entries in data collection: 1021950