Home Browse Text SearchFunctional Group SearchStructure SearchPreferences Administration

selected data collection: 1

IRIS SDF: browse content


1
  <<    <    >    >>  

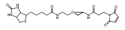
1:637510 C34H70N4O13
hit structure
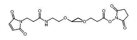
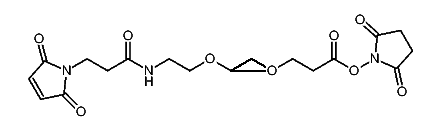
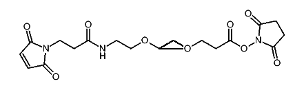
1:637511 C21H37N3O8S
hit structure
1:637512 C15H30O7
hit structure
1:637513 C23H46O11
hit structure
1:637514 C38H63N3O19
hit structure
1:637515 C14H20N2O7
hit structure
1:637516 C18H23N3O9
hit structure
1:637517 C62H111N3O31
hit structure
1:637518 C18H28N2O9
hit structure
1:637519 C22H31N3O11
hit structure
1:637520 C26H39N3O13
hit structure
1:637521 C30H47N3O15
hit structure
1:637522 C41H71N5O16S
hit structure
1:637523 C58H108N2O29
hit structure
1:637524 C27H43N5O8S
hit structure
1:637525 C26H44N2O13
hit structure
1:637526 C10H20O6
hit structure
1:637527 C18H36O10
hit structure
1:637528 C6H12O4
hit structure
1:637529 C52H104O27
hit structure
1:637530 C25H53NO12
hit structure
1:637531 C25H51N3O12
hit structure
1:637532 C32H58N2O15
hit structure
1:637533 C49H101NO24
hit structure
1:637534 C56H106N2O27
hit structure

1
  <<    <    >    >>  

entries in data collection: 639090