Home Browse Text SearchFunctional Group SearchStructure SearchPreferences Administration

selected data collection: 1

IRIS SDF: browse content


1
  <<    <    >    >>  

1:634798 C34H30F3NO7S
hit structure
1:634799 C39H42N4O7S
hit structure
1:634800 C23H27NO5
hit structure
1:634801 C30H32BNO6
hit structure
1:634802 C34H39BN2O7
hit structure
1:634803 C28H28N2O6
hit structure
1:634804 C45H62N10O13
hit structure
1:634805 C51H72N12O15
hit structure
1:634806 C29H32N2O6
hit structure
1:634807 C25H29NO6
hit structure
1:634808 C26H31NO6
hit structure
1:634809 C27H33NO6
hit structure
1:634810 C25H27NO4
hit structure
1:634811 C28H27NO4
hit structure
1:634812 C28H27NO4
hit structure
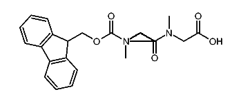
1:634813 C18H17NO4
hit structure
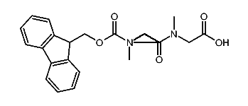
1:634814 C18H17NO4
hit structure
1:634815 C34H40N4O7S
hit structure
1:634816 C36H41F3N4O7S
hit structure
1:634817 C38H32N2O5
hit structure
1:634818 C39H34N2O6
hit structure
1:634819 C23H25NO6
hit structure
1:634820 C25H20N2O4S
hit structure
1:634821 C38H33NO5S
hit structure
1:634822 C37H31NO4S
hit structure

1
  <<    <    >    >>  

entries in data collection: 639090