Home Browse Text SearchFunctional Group SearchStructure SearchPreferences Administration

selected data collection: 1

IRIS SDF: browse content


1
  <<    <    >    >>  

1:634669 C31H36N2O6
hit structure
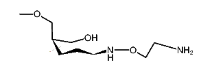
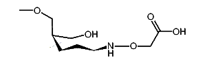
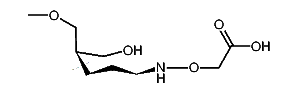
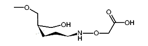
1:634670 C16H25NO6
hit structure
1:634671 C31H36N2O6
hit structure
1:634672 C31H36N2O6
hit structure
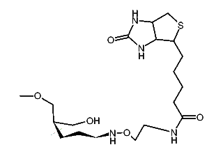
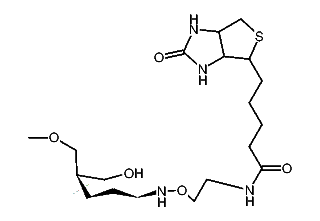
1:634673 C34H42N2O6
hit structure
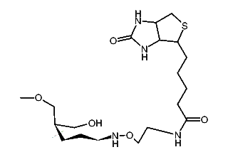
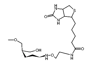
1:634674 C15H23NO4S
hit structure
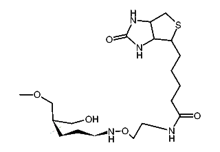
1:634675 C34H42N2O6
hit structure
1:634676 C32H38N2O6
hit structure
1:634677 C11H28N2O3
hit structure
1:634678 C11H28N2O3
hit structure
1:634679 C11H28N2O3
hit structure
1:634680 C11H28N2O3
hit structure
1:634681 C11H28N2O3
hit structure
1:634682 C11H28N2O3
hit structure
1:634683 C11H25NO5
hit structure
1:634684 C11H25NO5
hit structure
1:634685 C11H25NO5
hit structure
1:634686 C11H25NO5
hit structure
1:634687 C11H25NO5
hit structure
1:634688 C11H25NO5
hit structure
1:634689 C21H42N4O5S
hit structure
1:634690 C21H42N4O5S
hit structure
1:634691 C21H42N4O5S
hit structure
1:634692 C21H42N4O5S
hit structure
1:634693 C21H42N4O5S
hit structure

1
  <<    <    >    >>  

entries in data collection: 639090